Objektif Penubuhan Persidangan Negara Negara Islam

Pertubuhan Negara Negara Islam

Pertubuhan Negara Negara Islam

Soalan Ulangkaji Bah A Sem 3

Soalan Ulangkaji Bah A Sem 3

Pengajian Malaysia Dasar Utama

Pengajian Malaysia Dasar Utama

Sejarah Tingkatan 5 Bab 3 Pages 1 25 Text Version Anyflip

Sejarah Tingkatan 5 Bab 3 Pages 1 25 Text Version Anyflip

Maszlee Malik On Twitter Malaysia Diberi Penghormatan Untuk Menjadi Tuan Rumah Persidangan Umum Pertubuhan Pendidikan Saintifik Dan Kebudayaan Islam Isesco General Conference Isesco Sesi Ke 14 Yang Akan Berlangsung Pada Tahun 2021

Maszlee Malik On Twitter Malaysia Diberi Penghormatan Untuk Menjadi Tuan Rumah Persidangan Umum Pertubuhan Pendidikan Saintifik Dan Kebudayaan Islam Isesco General Conference Isesco Sesi Ke 14 Yang Akan Berlangsung Pada Tahun 2021

Pertubuhan Persidangan Islam Oic

Pertubuhan Persidangan Islam Oic

Pertubuhan Persidangan Islam Oic

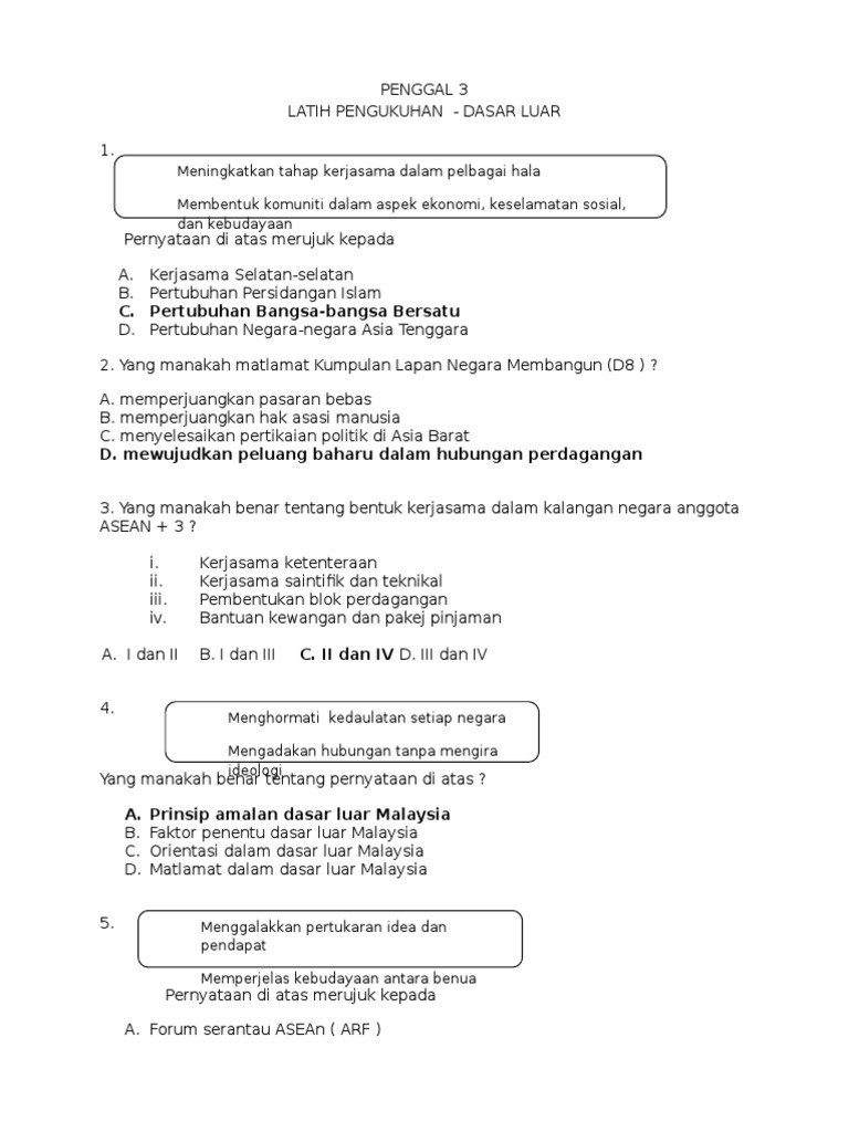
P3 Latihan Pengukuhan Dasarluar

P3 Latihan Pengukuhan Dasarluar

Sumbangan Malaysia Dalam Pbb Oic Komanwel Fakrul Nazneen

Sumbangan Malaysia Dalam Pbb Oic Komanwel Fakrul Nazneen

Latar Belakang Dasar Luar Negara Ppt Download

Latar Belakang Dasar Luar Negara Ppt Download

Berita Tv9 Malaysia Dipilih Sebagai Tuan Rumah Bagi Facebook

Berita Tv9 Malaysia Dipilih Sebagai Tuan Rumah Bagi Facebook

Ilovesejarah Contoh Pengenalan When Im Bored Im Bored

Ilovesejarah Contoh Pengenalan When Im Bored Im Bored

Ppt Konsep Negara Islam Dan Hubungan Antarabangsa Powerpoint Presentation Id 3563892

Ppt Konsep Negara Islam Dan Hubungan Antarabangsa Powerpoint Presentation Id 3563892

Dasar Luar Negara

Dasar Luar Negara

Final Presentation Pm

Final Presentation Pm

Pengajian Am Penggal 3 Trial Pahang 2014 Pages 1 7 Text Version Anyflip

Pengajian Am Penggal 3 Trial Pahang 2014 Pages 1 7 Text Version Anyflip

Pengajian Am Kumpulan Lapan Negara Membangun D8

Pengajian Am Kumpulan Lapan Negara Membangun D8

Pdf Dinamika Kesepaduan Politik Melayu Islam Analisis Hubungan Umno Pas 2010 2015

Pdf Dinamika Kesepaduan Politik Melayu Islam Analisis Hubungan Umno Pas 2010 2015

Pdf Potensi Zakat Dalam Pembangunan Umat Islam Di Malaysia

Pdf Potensi Zakat Dalam Pembangunan Umat Islam Di Malaysia

Hubungan Global

Hubungan Global

Malaysia Dalam Hubungan Antarabangsa

Malaysia Dalam Hubungan Antarabangsa

Esei Penggal 3 2 1

Esei Penggal 3 2 1

P Am Kertas1 Set1

P Am Kertas1 Set1

Pdf Krisis Etnik Minoriti Muslim Myanmar Rohingya

Pdf Krisis Etnik Minoriti Muslim Myanmar Rohingya

Http Studentsrepo Um Edu My 1160 4 Bab 2 Pdf

Http Studentsrepo Um Edu My 1160 4 Bab 2 Pdf

Https Encrypted Tbn0 Gstatic Com Images Q Tbn 3aand9gcsujtqan8wbsatkxoullpxsao5owykhh5irs Wu Ck Usqp Cau

Https Encrypted Tbn0 Gstatic Com Images Q Tbn 3aand9gcsujtqan8wbsatkxoullpxsao5owykhh5irs Wu Ck Usqp Cau

Slaid Sejarah Ting 5 Bab 3

Slaid Sejarah Ting 5 Bab 3

Negara Lebih Besar Dari Kapal Bugis Najib Mrm Jasin Mirrored Sunglasses Mens Sunglasses

Negara Lebih Besar Dari Kapal Bugis Najib Mrm Jasin Mirrored Sunglasses Mens Sunglasses

Pdf Peranan Dan Sumbangan Tun Dr Mahathir Mohamad Dalam Pembangunan Pendidikan Tinggi Masyarakat Melayu

Pdf Peranan Dan Sumbangan Tun Dr Mahathir Mohamad Dalam Pembangunan Pendidikan Tinggi Masyarakat Melayu

Pertubuhan Kerjasama Islam Wikipedia Bahasa Melayu Ensiklopedia Bebas

Pertubuhan Kerjasama Islam Wikipedia Bahasa Melayu Ensiklopedia Bebas

Peranan Pertubuhan Negara Negara Islam Oic

Peranan Pertubuhan Negara Negara Islam Oic

Source : pinterest.com